展开
收缩
豫升教育在线客服
在线客服1:
在线客服2:
技术支持:夏老师
电话:0371-60385262
课程列表
全日制班
年前全日制班
秋季基础班
寒假实战班
全日制班
年后全日制班
66天全日制班
春季精讲班
5月超强集训班
五一特训班
考前特训班
一对一班
关注我们:
微信公众号
豫升掌上英语App下载
欢迎来到河南豫升专升本官网!
请先
登录
注册
首页
学校简介
课程介绍
视频教学
高校直通车
跟状元学习
升本资料
服务指南
联系我们
在线留言
河南豫升教育培训学校,总校座落于郑州市农业路与天明路交叉口西南角千盛生活广场4楼,教学面积 700余平方米,环境优雅,设施齐全,多媒体教室、空调教室等一应俱全。一流的硬件设施,良好的人文环境,为希望教育培训学校赢得了良好的社会声誉。
查看详情>>
学校简介
学习环境
学习文化
学校荣誉
师资力量
课程设置
全日制班
全程周末班
年前周末基础班
暑假体验班
年后全日制班
周末精讲班
英语集训营(艺术类考生)
66天全日制班
在线选课>>
分类:
公共英语
管理学
高等数学
公开试听课
新闻公告
最新:
豫升专升本宿舍环境
河南专升本高校解析-郑州航空工业管理学院
河南专升本历年报考数据分析
河南专升本升本指南-常见专业对照及专业分析
河南专升本30所院校公布2022年河南专升本录取分数线
河南专升本计算机科学与技术专业七个方面数据分析
河南专升本高数-涉及函数性质的有关题目
河南专升本高数-求函数的定义域
河南专升本高数考点-求复合函数或函数值或复合函数的外层函数或内层函数
第十一讲圆锥曲线
第十讲直线方程
第九讲平面向量
专升本英语-主谓一致牛刀小试
专升本英语-时态相关练习
专升本英语-名词辨析专练
60级单词读音、第六十级
60级单词读音、第五十九级
60级单词读音、第五十八级
专升本管理学-人际关系学说
专升本管理学-法理性权利及其特征
专升本管理学-科层组织及其运行规则
专升本管理学考场答题技巧
河南专升本管理学考点-中外早期管理思想
河南专升本管理学-计划的概念
河南专升本教育学心理学考点-心理学的重点流派2
河南专升本教育学心理学考点-心理学的重点流派1
河南专升本教育学心理学考点-心理现象结构表
更多视频>>
河南理工大学
河南财经政法大学
郑州大学
河南大学
南阳理工学院
安阳师范学院
郑州航空工业管理学院
河南工程学院
河南建筑职业技术学院
河南经贸职业学院
河南科技大学
河南师范大学
河南中医学院
华北水利水电大学
黄淮学院
更多学校>>
状元榜
常亚宁
陈明宇
高岩
黄凯龙
乔吴峥
田均萍
赵龙威
刘明慧
杨天赐
张明浩
周子婷
倪蕊
吕士森
张宗祥
张玉洁
乔锋
查看更多>>
全部
公共英语
高等数学
管理学
动植物遗传学
生理学.病理学
美术综合
大学语文
教育学.心理学
学员报名:
课程挑选指南
学员报名流程
报名付款方式
上课注意事项
各项制度:
奖学金制度
转班延期插班
学习承诺书
优惠措施
学生事务:
我们的服务
关于投诉
总部教学点
联系方式:
0371-60385262
0371-55819621
0371-55819620
18039226897
15516190425
13283097666
17513355758
联系地址:
龙子湖校区:郑东新区龙子湖正商学府广场B座13楼
各分部教学点联系方式>>
首页
>
升本资料
>
历年真题
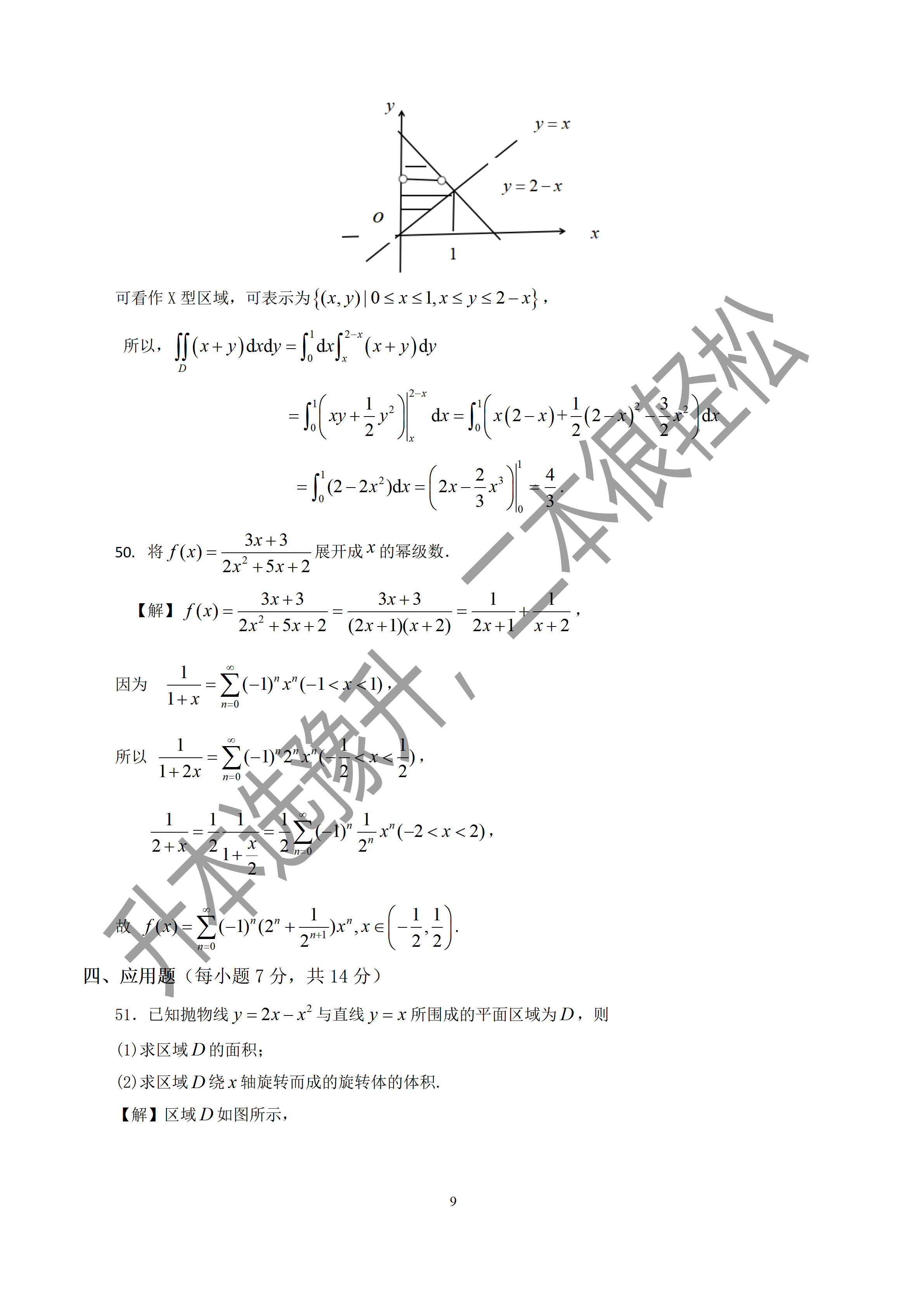
河南专升本2024年真题及解析-高数
【升本资料】
2025-12-9 18:08:11 作者:小于 浏览:202
上一篇:
2026河南专升本百日冲刺规划表
下一篇:
这句话杀死了我专升本期间所有拖延的理由
相关文章:
2018年河南专升本高等数学真题试卷
2018年河南专升本高等数学真题试卷答案详解
2018年河南专升本公共英语真题试卷
2018年河南专升本公共英语真题试卷答案详解
文章分类
焦点新闻
升本资料
资料
学校动态
升本快讯
升学率
常见问题
升本指南
押题对照
优惠活动
焦点新闻
学习经验
服务指南
每日作业
英语章节
网站配置
管理学考点
高数考点
高数章节
高数资料
联系我们
图文快讯
专升本备考指南,从入学开
专升本英语阅读理解做题技
专升本备考:别再“没苦硬
专升本上岸的10大快乐,
热门文章
专升本备考指南,从入学开始!
专升本英语阅读理解做题技巧
专升本备考:别再“没苦硬吃”!这10个坑……
专升本上岸的10大快乐,谁懂啊!
专升本如何保持稳定的学习欲?
管理学要点知识汇总!
专升本管理学难哭?5个高效学法+避坑指南……
你焦虑的不是考不上,是怕白忙一场!
学校简介
|
课程介绍
|
视频教学
|
高校直通车
|
跟状元学习
|
在线学习
|
升本资料
|
服务指南
|
联系我们
|
在线留言
|
优惠活动
主办单位:河南豫升教育学校 学校地址:郑州市农业路与天明路交叉口西南角千盛广场(8号楼)4楼425室
Copyright ©
河南豫升教育学校
2015 All Rights Reserved
豫ICP备2022018419号-1
豫公网安备41010702003716号